Cálculo III
Logo de la Asignatura

Cálculo 3

Escuela de Matemáticas
Facultad de Ciencias
Universidad Industrial de Santander

Módulo 1. Funciones: vectoriales y de varias variables.

Lección 1.2 Límites y continuidad de una función de varias variables. Derivadas parciales.

Volver al módulo
Expertic Logo Logo UIS
1. Preparación de la lección

Competencias de la lección

  • Comprender y calcular los límites de funciones de varias variables para analizar su comportamiento en distintos puntos del dominio.
  • Determinar la continuidad de una función de varias variables en su dominio, identificando puntos de discontinuidad y comprendiendo cómo afectan el comportamiento de la función.
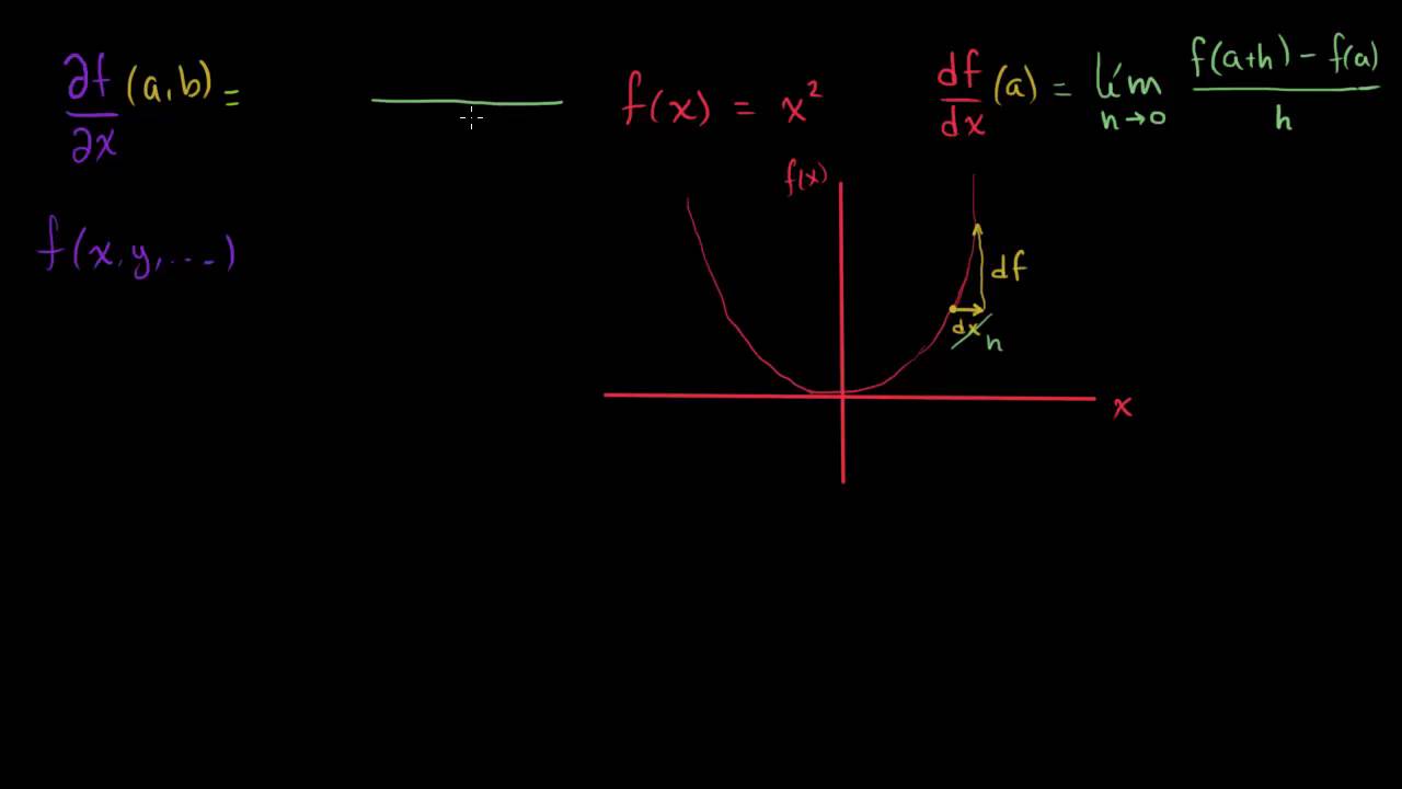
  • Calcular derivadas parciales de primer orden de funciones de varias variables para obtener las tasas de cambio de la función con respecto a cada una de las variables independientes.
  • Aplicar derivadas parciales de orden superior en funciones de varias variables para analizar cómo cambian las tasas de cambio en función de las diferentes variables y sus combinaciones.
  • Utilizar el teorema de Clairaut para las derivadas parciales de orden superior y comprobar la igualdad de las derivadas mixtas en funciones que cumplen con las condiciones de continuidad de las derivadas.

Resumen

2. Profundización de la lección

Lección 1.2 Límites y continuidad de una función de varias variables. Derivadas parciales

  1. (T1.3) Límite y continuidad de una función de varias variables:

    1. Definición de límites. (Bibliografía: Thomas p.790-793, Stewart p.903-905, Smith p.822-824).
    2. Trayectorias. (Bibliografía: Thomas p.794-795, Stewart p.905-907, Smith p.824-828).
  2. (T1.4) Derivadas parciales de primer orden y orden superior:

    1. Continuidad de una función. (Bibliografía: Thomas p.793-794, Stewart p.907-909, Smith p.828-831).
    2. Derivadas de dos variables. (Bibliografía: Thomas p.798-802, Stewart p.913-914, Smith p.833-837).
    3. Derivadas de tres variables. (Bibliografía: Thomas p.802-803, Stewart p.917-918, Smith p.838-839).
    4. Derivada de orden superior. (Bibliografía: Thomas p.805, Stewart p.918, Smith p.837).
3. Reto de la lección

Aula de entrenamiento ExperTIC

Realice los talleres propuestos para esta lección en el aula de entrenamiento que encontrará en aulas de entrenamiento ExperTIC

4. Cierre de la lección

Autoevaluación

  • ¿Cómo se define el límite de una función de varias variables y qué dificultades adicionales presenta respecto al límite de funciones de una variable?
  • ¿Qué condiciones garantizan la continuidad de una función de varias variables en un punto?
  • ¿Cómo se interpretan las derivadas parciales de una función de dos variables?
  • ¿Cuál es la diferencia entre derivadas parciales de primer orden y derivadas parciales de orden superior?
  • ¿Qué papel juegan las derivadas parciales en la diferenciabilidad de una función de varias variables?

Estimados estudiantes,
Ahora que hemos concluido nuestra lección, es importante reflexionar sobre lo aprendido y consolidar nuestros conocimientos. A continuación, repasaremos los puntos clave de cada tema y evaluaremos nuestra comprensión a través de algunas preguntas reflexivas.